大车根据车轮踏面与轨道顶部接触情况的不同,可分为点接触和线接触。理论上,线接触的受力情况较好。实际上由于安装和制造的误差,线接触的受力分布并不均匀,在欧式大车运行机构中也常常按点接触来考虑车轮的载荷计算。大车初选车轮直径,应尽量避免选用大直径车轮,直径越大,意味着对轨道基础或承轨结构的要求越高,大车轨面*小车*高点也越大。为了减小单个车轮的轮压,可以采用平衡台车来增加车轮数量的办法降低车轮的轮压,但总的腿压不能增大,对用户牛腿的腿压需考虑在承受许可范围。

大车车轮一般参考同类樱桃视频色版机的大车设计,初选大车车轮直径为D的实心轮,校核大车车轮的计算。
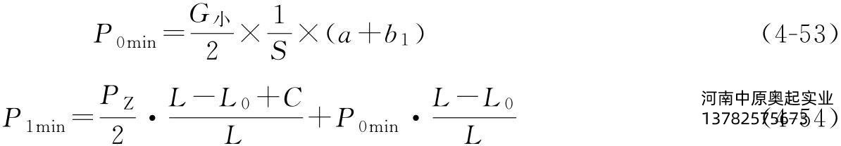
是校核计算车轮的一个经典公式,式中Pmax由式(4-50)和式(4-51)计算可求出,Pmin根据图4-47可推导出下式。
P1min、P2min之间的小值即为*小轮压Pmin。
文章聚合页面: 樱桃视频官网 车轮联系人:徐经理
手机:13782575673
电话:0373-8611375
邮箱:hnzyaqqz@126.com
官网:www.3ggnwf.com
地址:河南长垣樱桃视频色版工业园区华豫大道中段