您好,欢迎进入河南省中原樱桃视频影院在线播放实业有限公司官方网站!

与时俱进,诚赢客户

樱桃视频官网、提梁机、门式樱桃视频色版机生产厂家

服务电话:13782575673

樱桃视频色版机产品问答

您现在所在位置:首页>>樱桃视频色版资讯>>樱桃视频色版机产品问答

欧式樱桃视频色版机小车的设计要点

本文链接:http://www.3ggnwf.com/cjwt/515.html   发布时间:2021-03-04 01:41:38  点击量:1494

  欧式小车的布置

  小欧式小车延伸拓展出几种典型的中、大欧式小车结构型式,这与小欧式小车的机构布置特点有关,小欧式小车由起升机构、运行机构、小车横梁、小车架、小车附件等构成。这些部件和机构呈立体的结构布置原理决定了小欧式小车的结构特点。

  小欧式小车关键的核心部分是起升机构(图3-48中双点划线围成的部分)。起升机构的卷筒组与“三合一”电机和减速器套装的连接方式决定了小车欧式的结构和机构布置。就国内和欧洲的欧式樱桃视频色版机,卷筒组与减速器的套装连接方式有两种较典型的代表型式,一种是用中厚板支承卷筒座的减速器“上悬挂”(图3-49);一种是用小车端梁腹板支承卷筒座的减速器“下悬挂”(图3-50)。


图3-50下悬挂减速器与卷筒装配
图3-50下悬挂减速器与卷筒装配

  “上悬挂”是DEMAG公司的代表之作,分长轴式和短轴式,靠花键连接传动,电机大多直接固定在减速器上,卷筒的支承轴采用球面轴承,只能安装在小车架平面的上面,减速器必须特殊制造,不能采用通用减速器,小车的整体高度较高,安装较方便。

  “下悬挂”是笔者发明专利中的核心技术之一(参见发明专利《超大吨位樱桃视频色版机低净空小车》,专利号ZL201110027816.X)。因安装在小车架平面之下,考虑安装的方便,一般只有短轴式,靠花键连接传动,电机大多靠联轴器间接固定在减速器上,卷筒的支承轴采用球面轴承,减速器可以采用通用减速器,小车的整体高度较小,安装较复杂。

  当选型计算的减速器中心距不够布置电机、制动器和卷筒的结构时,还必须改大减速器的型号,这是采用标准减速器的弊端,也可以采用非标减速器来增大减速器的中心距布置起升机构,但非标减速器的价格往往很贵,不如采用改大减速器的型号合算。

  小欧式起升机构可以采用“上悬挂”和“下悬挂”结构,因小欧式起升机构的零部件较小,一般推荐采用“上悬挂”。“上悬挂”的“三合一”电机能做成集成的一个部件,主要是国外电机采用制动电机,体积和重量非常小,并能和结构非常轻巧的减速器相匹配。国内的电机和制动器相对笨重,体积较大,目前还不具备制造成起升“三合一”制动电机的技术。目前国内使用的起升“三合一”电机都是国内生产的欧洲品牌产品,冶金樱桃视频色版专用电机是目前国内较为常见的选型产品,不宜选择“上悬挂”布置。

  中欧式起升机构推荐采用“下悬挂”结构,独立的电机、制动器布置在主、副端梁之间的内侧,将卷筒组轴承支座和减速器输出轴衔接到小车端梁的里面,卷筒既起到承受载荷受力的部分支撑作用,同时也起到加强主、副端梁的横向连接作用,增加了小车架的水平刚性。因此,中欧式结构决定了小车架有“H”形和“日”字形两种结构型式。卷筒组的水平中心轴线和小车主、副端梁齐平,整体高度比传统的桥式樱桃视频色版机一般可以降低1~2m的高度,这是中欧式小车的主要优点之一。

  中欧式小车布置起升制动器,习惯将一个制动器直接布置在减速器的输入轴上,由浮动轴通过齿轮或半齿联轴器和电机连接。如果采用双制动(图3-51),需把另一个制动器通过浮动轴放在电机的输出轴上。也可以采用电机双伸轴,把制动器放在电机尾端,电机输出轴处采用半齿联轴器连接。一般中欧式起升机构的双制动器布置宜采用图3-51中A、B型结构型式,不适合采用C、D、E型图结构型式。

  无论采用单制动器还是双制动器结构型式,制动器只能放在起升机构的高速轴上。

  小欧式小车的起升制动器(制动单元)并不是直接装在减速器的输入轴上,而是通过法兰联轴器和电机连接,制动器装在电机的尾部。通过大量的实践证明,小欧式小车起升制动器不直接装在减速器的输入轴上也是可行的。中欧式(低净空)小车由于受小车结构的限制,一般不直接把制动器装在减速器的输入轴上,但可以按双制动器的型式设计,把制动器直接装在减速器的输入轴上,实践证明制动器不直接装在减速器的输入轴上的中欧式小车也是可行的。

  按传统习惯将制动器直接装在减速器的输入轴上,一般只能放在小车端梁里侧。靠外侧受到的限制较多,制动器加强支撑件难以做到满足刚度,也不方便通过走台,使大车的结构尺寸增大。

  “上悬挂”减速器与“三合一”起升电机布置的小欧式小车体积轻小,为设计主梁和大车减轻了不少重量,但小欧式樱桃视频色版机的局限性,限制了欧式结构的范围和吨位。采用中欧式小车结构型式布置的小车,由于适合大吨位,减轻整机重量的效果更为显著。

  欧式小车横梁必须紧靠卷筒组布置,以便满足卷筒出绳的偏角小于或等于3.5°,滑轮的绕入绕出偏角小于或等于5°,这可以减小小车的长度尺寸,使小车吊钩的左右极限距离较小,樱桃视频色版机相对工作面域增大,还可以增大有效起升高度。此外,小车的主、被轮压分布能*大限度地接近,有利于减小小车车轮直径,降低小车的整体高度。

  欧式小车卷筒、滑轮绕出绳槽的偏角

  欧式小车的钢丝绳缠绕系统通过卷筒放下钢丝绳到吊钩组,由吊钩组上穿到下横梁里的定滑轮组过渡,再绕入到吊钩组形成一个缠绕循环系统。吊钩组滑轮轴线和下横梁里的滑轮轴线与卷筒轴线垂直,并分两排平行布置。

  欧式小车滑轮的*大偏角主要考虑从卷筒下来的两根钢丝绳进入吊钩组动滑轮时的偏角(图3-52),其次考虑从吊钩组动滑轮绕出进入小车横梁里的定滑轮偏角,其后的绕向钢丝绳偏角不用考虑,也就是说钢丝绳中心线在垂直卷筒轴线平面内的偏角不大于5°。

  欧式小车的钢丝绳从滑轮槽出角也有“折射”现象(参见李海波,白剑波,韩梦丹,周奇才,张兰翔,《樱桃视频色版运输》,2015(4),“关于《樱桃视频色版机设计规范》(GB 3811—2008)中卷筒偏角和滑轮偏角的探讨”),而且“折射”现象比传统桥式樱桃视频色版机还要严重。在设计布置欧式樱桃视频色版机的小车时,要尽量减小图3-52中的δ值距离,但δ值太小,卷筒工作时又会与小车横梁干涉;δ值太大,卷筒偏角会偏大,小车的长度会增大,吊钩起升极限*小距离会增大。

  欧式小车吊钩组的动滑轮达到起升极限位置时,滑轮的偏角出现*大,从卷筒下来的两根钢丝绳进入吊钩组动滑轮时的偏角不大于5°。此外,从吊钩组动滑轮绕出进入小车横梁里的定滑轮偏角也必须不大于5°,还要考虑此时的钢丝绳是否会和小车横梁腹板底面干涉。为了减少钢丝绳在缠绕过程中可能发生的相擦,推荐小车横梁里的滑轮设计尽量靠下些,并使定滑轮轴线低于卷筒轴线,或者使滑轮布置在小车横梁远离卷筒的一边,这种情况下的小车横梁腹板可以设计成不等厚的主、副腹板。

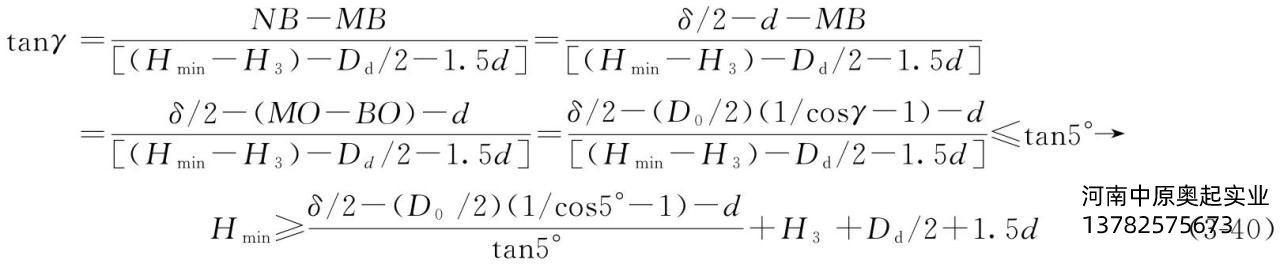
  设卷筒钢丝绳出绳点*靠近卷筒*外面定滑轮中心线的距离为δ,吊钩组近似在卷筒和靠近*外面的定滑轮中心线的δ/2处,吊钩的起升极限距离Hmin可以从下式求出。

  由于∠MAO=∠ONC=90°,得:∠AOB=γ;在直角△MNC中

  ?

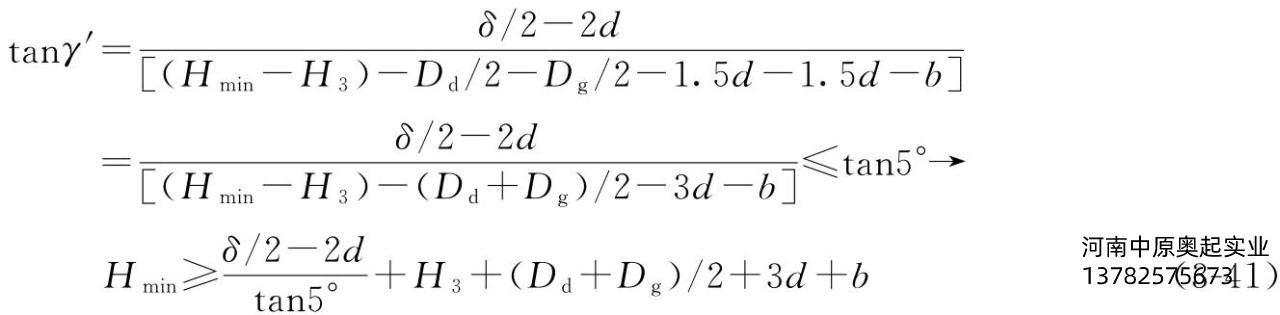
  式中所有参数都可以在设计中获得数据,同时,还需满足吊钩组动滑轮绕出进入小车横梁里的定滑轮偏角γ′不大于5°。

  ?

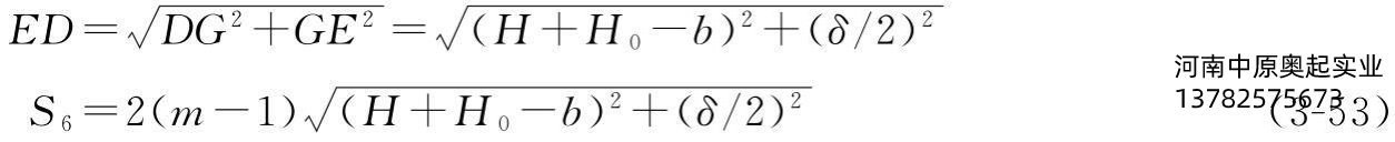
  式中 b——滑轮轴线水平面和卷筒轴线水平面距离(图3-53),当卷筒中心线在小车横梁里的滑轮中心线水平面之下时,b值取负值(mm);

  δ——2倍PE点距离(mm);

  Dg——小车横梁里的固定滑轮绳槽直径(mm);

  Dd——吊钩动滑轮绳槽直径(mm);

  D0——卷筒的计算直径(mm)。

  Hmin必须同时满足式(3-40)和式(3-41),此外,还必须考虑hmax值对钢丝绳的影响。当小车横梁过高,横梁靠近卷筒侧的腹板可能与钢丝绳干涉(图3-52)。从横梁滑轮轴到横梁*低端的距离Hf,推荐按式(3-43)校核,当Hf值大于hmax-40时,需将小车横梁里的滑轮组向右移布置,直到Hf满足小于或等于hmax-40值。

  在图3-53中,经过作图可以发现,经由定滑轮中心E点,不论经过滑轮槽缘那个点(图3-52M点)“折射”到吊钩滑轮槽的N点,再到D点,该线路的轨迹都在E、D直接连线和小车横梁腹板内壁延长线的交点附近和ED连线相交于F点。也就是说,小车横梁靠近卷筒的腹板内壁*底端,离E、D连线与腹板内侧延长的交点B*近。

  直角△ABE与直角△PDE相似,所以AB长度可得下式


  式中 c1——靠近卷筒的定滑轮中心线*小车横梁腹板内壁之间的距离,即图3-53中AE的长度(mm);

  hmax——小车横梁腹板里面定滑轮的水平轴线到E、D连线的交点之间的距离(mm);

  Hf——小车横梁腹板里面定滑轮的水平轴线到腹板*底端的距离(mm)。

  卷筒的*大偏角就是钢丝绳中心线在卷筒主视图平面内的偏角γ不大于3.5°(图3-54),当吊钩起升到*小极限距离,卷筒出现*大偏角。

  Dw-Dd-d≥Lg≥Dw-Dd-d-2H0tan3.5°  (3-44)

  式中 Dw——吊钩组两排动滑轮轴线之间的距离(mm)。

  其他参数同本章前面介绍。

  欧式小车起升机构钢丝绳的实际长度计算

  欧式小车起升机构钢丝绳的实际长度宜尽量算得准确,一般比实际长度长1~2m*理想,在设计时经常有钢丝绳实际长度大于10m以上的现象发生,累积起来浪费不少成本,尤其要杜绝钢丝绳长度下料短,导致整根钢丝绳报废的情况发生。

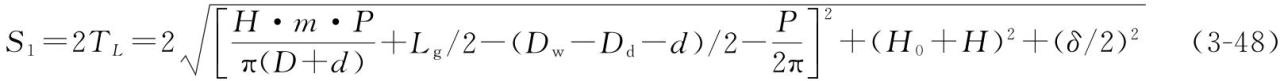
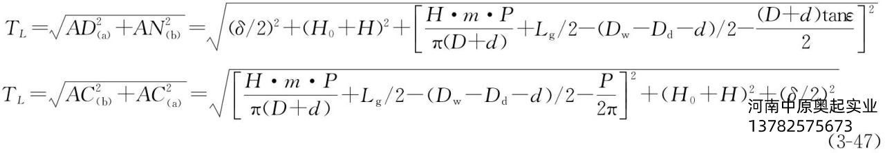
  3.6.3.1钢丝绳从卷筒绕出点到吊钩组*外缘动滑轮水平线上绳槽的绕入点的空间距离S1

  按式(3-40)和式(3-41)计算出Hmin值,求出H0值。吊钩在*底端状态下,钢丝绳从卷筒绕出点到吊钩组*外缘动滑轮水平线上绳槽的绕入点的空间距离(图3-55)。

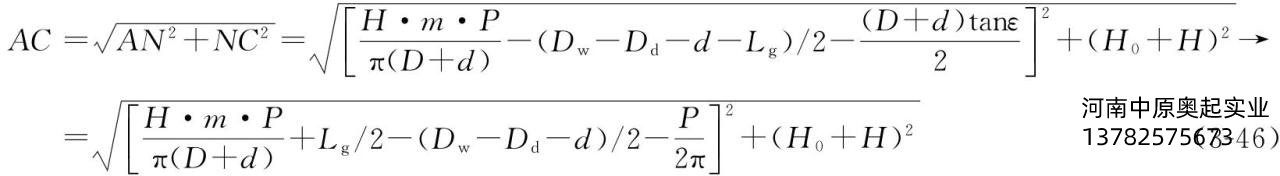
  吊钩组动滑轮在*底端,钢丝绳绕出滑轮槽不会出现“折射”现象,只有当起升到达顶点的附近时才会有“折射”现象发生。钢丝绳绕出卷筒出槽点可近似视为卷筒圆周水平线上的点,既可以把A、B点看成重合,其计算的钢丝绳长度误差可以忽略不计。所求长度为AD在图3-55(a)中的平面的距离:


  式中参数和本章前面介绍相同,δ、H0、H都可在设计时获得数据,在面对卷筒主视平面,所求长度为AC在图3-55(b)平面的距离:

  钢丝绳从卷筒绕出点到吊钩组*外缘动滑轮水平线上绳槽的绕入点的空间距离TL,实际上是空间一段线段的距离在两个视图上的体现。

  式中 AD(a)——图3-55(a)中AD的平面长度(mm);

  AN(b)——图3-55(b)中AN的平面长度(mm);

  AC(a)——图3-55(a)中AC的平面长度(mm);

  图3-55 吊钩在*底端时的状态图

  AC(b)——图3-55(b)中AC的平面长度(mm)。

  其他参数见本章前述。

  式中 P——卷筒槽距。

  其他参数见本章前述。

  3.6.3.2 钢丝绳在吊钩组动滑轮上的缠绕长度S2

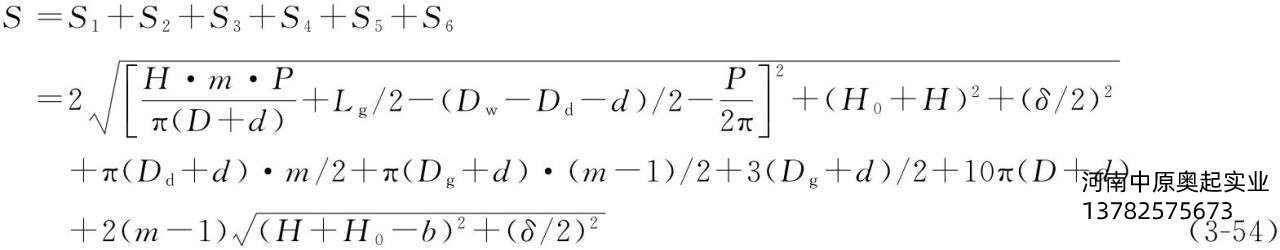
  S2=π(Dd+d)·m/2  (3-49)

  式中 S2——吊钩组在动滑轮上的缠绕总长度(mm);

  m——钢丝绳的倍率。

  3.6.3.3 钢丝绳在小车横梁上定滑轮的缠绕长度S3

  S3=π(Dg+d)·(m-2)/2  (3-50)

  式中 S3——钢丝绳在小车横梁上定滑轮的缠绕总长度(mm);

  Dg——小车横梁上定滑轮绳槽的直径(mm)。

  3.6.3.4 钢丝绳在小车横梁上楔形套筒固定轴式超载限制器的总长度S4

  S4≈2×1.5(Dg+d)/2=3(Dg+d)/2  (3-51)

  3.6.3.5 钢丝绳在卷筒上的固定和**圈数展开总长度S5

  S5=π(D+d)×5×2=10π(D+d)  (3-52)

  3.6.3.6 钢丝绳从吊钩动滑轮到小车横梁里的定滑轮总长度S6

  从图3-55(a)可知,ED的长度就是需要求出的钢丝绳S6分支长度。

  钢丝绳总长度S

  为了消除计算误差的影响,钢丝绳总长度可以放1~2m的余量,推荐钢丝绳的**圈和安装圈之和取5,以上公式可以通过编写小软件来计算。

文章聚合页面: 欧式樱桃视频色版机 欧式小车

联系樱桃视频影院在线播放

CONTACT US

联系人:徐经理

手机:13782575673

电话:0373-8611375

邮箱:hnzyaqqz@126.com

官网:www.3ggnwf.com

地址:河南长垣樱桃视频色版工业园区华豫大道中段

网站地图